精英家教网 > 高中数学 > 题目详情

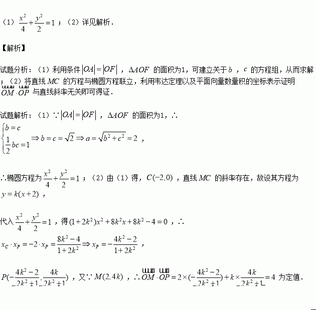
已知椭圆的右焦点为为短轴的一个端点,且的面积为1(其中为坐标原点).

(1)求椭圆的方程;

(2)若分别是椭圆长轴的左、右端点,动点满足,连接,交椭圆于点,证明:为定值.

练习册系列答案
相关习题

科目:高中数学 来源:2015-2016学年上海师大附中高二上期中数学试卷(解析版) 题型:解答题

在直角坐标系中,已知两点是一元二次方程两个不等实根,且两点都在直线上.

(1)求

(2)为何值时夹角为

查看答案和解析>>

科目:高中数学 来源:2015-2016学年河南省高二12月月考文科数学卷(解析版) 题型:选择题

设抛物线y2=8x的准线与x轴交于点Q,若过点Q的直线与抛物线有公共点,则直线的斜率取值范围是( )

A. B.[-2,2] C.[-1,1] D.[-4,4]

查看答案和解析>>

科目:高中数学 来源:2015-2016学年江西新余一中高二上第一次段考理数学卷(解析版) 题型:选择题

在锐角中,AB=3,AC=4,其面积,则BC=( )

A. B. C. D.

查看答案和解析>>

科目:高中数学 来源:2015-2016学年青海省西宁市高一上期中数学试卷(解析版) 题型:解答题

已知函数

(1)判断函数的奇偶性;

(2)证明函数在上为增函数.

查看答案和解析>>

科目:高中数学 来源:2015-2016学年山西省高二11月月考文科数学卷(解析版) 题型:解答题

如图,在三棱柱中,侧棱垂直于底面,分别是的中点.

(1)求证:平面平面

(2)求证:平面

(3)求三棱锥的体积.

查看答案和解析>>

科目:高中数学 来源:2015-2016学年山西省高二11月月考理科数学卷(解析版) 题型:填空题

设命题,命题,若的必要而不充分条件,则实数的取值范围是__________.

查看答案和解析>>

科目:高中数学 来源:2015-2016学年江西省高二上第三次文科数学试卷(解析版) 题型:选择题

已知函数的图像为曲线,若曲线存在与直线垂直的切线,则实数的取值范围是( )

A. B. C. D.

查看答案和解析>>

科目:高中数学 来源:2015-2016学年内蒙古包头市高一上期中数学试卷(解析版) 题型:选择题

若函数的定义域是,则的定义域是( )

A. B. C. D.

查看答案和解析>>

同步练习册答案