精英家教网 > 高中数学 > 题目详情

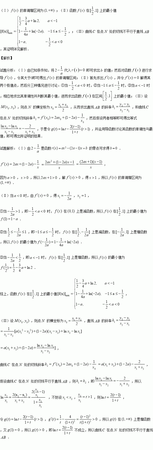
已知二次函数为常数,)的一个零点是.函数,设函数

(Ⅰ)求的值,当时,求函数的单调增区间;

(Ⅱ)当时,求函数在区间上的最小值;

(Ⅲ)记函数图象为曲线C,设点是曲线C上不同的两点,点M为线段AB的中点,过点M作轴的垂线交曲线C于点N.判断曲线C在点N处的切线是否平行于直线AB?并说明理由.

练习册系列答案
相关习题

科目:高中数学 来源:2015-2016学年贵州省高二上滾动训练4数学试卷(解析版) 题型:选择题

命题p:?x∈[0 , +∞), (log32)x≤1,则( )

A.p是假命题,﹁p:?x0∈[0,+∞),

B.p是假命题,﹁p:?x∈[0,+∞),(log32)x≥1

C.p是真命题,﹁p:?x0∈[0,+∞),

D.p是真命题,﹁p:?x∈[0,+∞),(log32)x≥1

查看答案和解析>>

科目:高中数学 来源:2015-2016学年安徽省蚌埠市高二上期中理科数学试卷(解析版) 题型:解答题

如图,已知四棱台上,下底面分别是边长为3和6的正方形.底面,点分别在棱上.

(1)点的中点,证明:

(2)若平面,二面角的正切值为,求四面体的体积.

查看答案和解析>>

科目:高中数学 来源:2016届云南师范大附中高考适应性月考三理科数学试卷(解析版) 题型:选择题

已知全集为,集合,则

A. B.

C. D.

查看答案和解析>>

科目:高中数学 来源:2016届山西省高三上期中理科数学试卷(解析版) 题型:解答题

已知数列的前项和为,且).

(1)求数列的通项公式;

(2)在数列中,,求数列的前项和

查看答案和解析>>

科目:高中数学 来源:2016届内蒙古赤峰二中高三上12月月考文科数学试卷(解析版) 题型:解答题

在直角坐标系中,曲线的参数方程为,(为参数),以原点为极点,轴正半轴为极轴,建立极坐标系,曲线的极坐标方程为

(1)求曲线的普通方程与曲线的直角坐标方程;

(2)设为曲线上的动点,求点上点的距离的最小值.

查看答案和解析>>

科目:高中数学 来源:2016届内蒙古赤峰二中高三上12月月考理科数学试卷(解析版) 题型:解答题

以下茎叶图记录了甲、乙两名射击运动员训练的成绩(环数),射击次数为4次.

(1)试比较甲、乙两名运动员射击水平的稳定性;

(2)每次都从甲、乙两组数据中随机各选取一个进行比对分析,共选取了4次(有放回选取).设选取的两个数据中甲的数据大于乙的数据的次数为,求的分布列及数学期望.

查看答案和解析>>

科目:高中数学 来源:2016届湖南省长沙市高三月考三文科数学试卷(解析版) 题型:选择题

复数的虚部是( )

A. B. C. D.

查看答案和解析>>

科目:高中数学 来源:2015-2016学年山东省高二上学情调查文科数学卷(解析版) 题型:选择题

中,角A,B,C所对边的长分别为,若,则的最小值为( )

A. B. C. D.

查看答案和解析>>

同步练习册答案