精英家教网 > 高中数学 > 题目详情

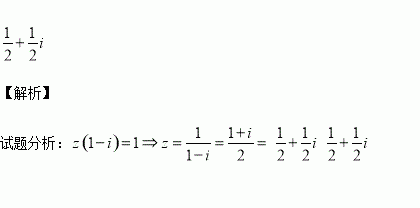
已知复数满足(其中为虚数单位),则

练习册系列答案
相关习题

科目:高中数学 来源:2016届辽宁省大连市高三10月月考理科数学试卷(解析版) 题型:选择题

已知集合,则( )

(A) (B) (C) (D)

查看答案和解析>>

科目:高中数学 来源:2015-2016年河北省高二上学期期中数学试卷(解析版) 题型:填空题

矩形ABCD中,,E,F分别是AB,CD的中点,以EF为旋转轴,将空间旋转,则四面体的体积为 .

查看答案和解析>>

科目:高中数学 来源:2016届江西省高三上学期期中文科数学试卷(解析版) 题型:选择题

函数的图像经过怎样的平移变换得到函数的图像( ).

A.向左平移个单位长度

B.向左平移个单位长度

C.向右平移个单位长度

D.向右平移个单位长度

查看答案和解析>>

科目:高中数学 来源:2016届江苏省高三周练数学试卷(解析版) 题型:解答题

已知

(1)求的单调区间;

(2)令,则时有两个不同的根,求的取值范围;

(3)存在,使成立,求的取值范围.

查看答案和解析>>

科目:高中数学 来源:2016届吉林省高三上学期二模文科数学试卷(解析版) 题型:选择题

下列命题中正确的是( )

A.若p∨q为真命题,则p∧q为真命题

B.“x=5”是“x2-4x-5=0”的充分不必要条件

C.命题“若x<-1,则x2-2x-3>0”的否定为:“若x≥-1,则x2-2x-3≤0”

D.已知命题p:?x∈R,x2+x-1<0,则p:?x∈R,x2+x-1≥0

查看答案和解析>>

科目:高中数学 来源:2016届黑龙江省高三上学期期中理科数学试卷(解析版) 题型:解答题

(本小题12分)如图,ABCD是边长为3的正方形,DE⊥平面ABCD,AF∥DE,DE=3AF,BE与平面ABCD所成角为60°.

(1)求证:AC⊥平面BDE;

(2)求二面角F?BE?D的余弦值.

查看答案和解析>>

科目:高中数学 来源:2015-2016学年重庆市高一10月月考数学试卷(解析版) 题型:解答题

已知函数的定义域为集合A,函数的定义域为集合B.

(1)求集合A、B;

(2)若,求实数的取值范围.

查看答案和解析>>

科目:高中数学 来源:2015-2016学年广东东华高中高一上学期前段段考数学试卷(解析版) 题型:填空题

函数的定义域是

查看答案和解析>>

同步练习册答案