精英家教网 > 高中数学 > 题目详情

 三棱锥A ­ BCD及其侧视图、俯视图如图1­4所示.设MN分别为线段ADAB的中点,P为线段BC上的点,且MNNP.

(1)证明:P是线段BC的中点;

(2)求二面角A ­ NP ­ M的余弦值.

 

图1­4


解:(1)如图所示,取BD的中点O,连接AOCO.

由侧视图及俯视图知,△ABD,△BCD为正三角形,

所以AOBDOCBD.

因为AOOC⊂平面AOC,且AOOCO

所以BD⊥平面AOC.

又因为AC⊂平面AOC,所以BDAC.

BO的中点H,连接NHPH.

MNH分别为线段ADABBO的中点,所以MNBDNHAO

因为AOBD,所以NHBD.

因为MNNP,所以NPBD.

因为NHNP⊂平面NHP,且NHNPN,所以BD⊥平面NHP.

又因为HP⊂平面NHP,所以BDHP.

OCBDHP⊂平面BCDOC⊂平面BCD,所以HPOC.

因为HBO的中点,所以PBC的中点.

(2)方法一:如图所示,作NQACQ,连接MQ.

由(1)知,NPAC,所以NQNP.

因为MNNP,所以∠MNQ为二面角A ­ NP ­ M的一个平面角.

由(1)知,△ABD,△BCD为边长为2的正三角形,所以AOOC.

由俯视图可知,AO⊥平面BCD.

因为OC⊂平面BCD,所以AOOC,因此在等腰直角△AOC中,AC.

BRACR

因为在△ABC中,ABBC,所以RAC的中点,

所以BR.

因为在平面ABC内,NQACBRAC

所以NQBR.

又因为NAB的中点,所以QAR的中点,

所以NQ.

同理,可得MQ.

故△MNQ为等腰三角形,

所以在等腰△MNQ中,

cos∠MNQ.

故二面角A ­ NP ­ M的余弦值是.

方法二:由俯视图及(1)可知,AO⊥平面BCD.

因为OCOB⊂平面BCD,所以AOOCAOOB.

OCOB,所以直线OAOBOC两两垂直.

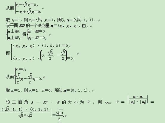
如图所示,以O为坐标原点,以OBOCOA的方向为x轴,y轴,z轴的正方向,建立空间直角坐标系O ­xyz.

A(0,0,),B(1,0,0),C(0,,0),D(-1,0,0).

因为MN分别为线段ADAB的中点,

又由(1)知,P为线段BC的中点,

故二面角A­NP­M的余弦值是.


练习册系列答案
相关习题

科目:高中数学 来源: 题型:


抛掷红、蓝两颗骰子,设事件A为“蓝色骰子的点数为3或6”,事件B为“两颗骰子的点数之和大于8”.

(1)求P(A),P(B),P(AB);

(2)当已知蓝色骰子的点数为3或6时,求两颗骰子的点数之和大于8的概率.

查看答案和解析>>

科目:高中数学 来源: 题型:


 如图1­6所示,四棱柱ABCD ­A1B1C1D1的所有棱长都相等,ACBDOA1C1B1D1O1,四边形ACC1A1和四边形BDD1B1均为矩形.

(1)证明:O1O⊥底面ABCD

(2)若∠CBA=60°,求二面角C1­OB1­D的余弦值.

图1­6

查看答案和解析>>

科目:高中数学 来源: 题型:


如图1­3,四棱锥P­ABCD中,底面ABCD为矩形,PA⊥平面ABCDEPD的中点.

(1)证明:PB∥平面AEC

(2)设二面角D­AE­C为60°,AP=1,AD,求三棱锥E­ACD的体积.

图1­3

查看答案和解析>>

科目:高中数学 来源: 题型:


如图1­5所示,△ABC和△BCD所在平面互相垂直,且ABBCBD=2,∠ABC=∠DBC=120°,EF分别为ACDC的中点.

(1)求证:EFBC

(2)求二面角E­BF­C的正弦值.

图1­5

查看答案和解析>>

科目:高中数学 来源: 题型:


在空间直角坐标系Oxyz中,已知A(2,0,0),B(2,2,0),C(0,2,0),D(1,1,).若S1S2S3分别是三棱锥D ­ ABCxOyyOzzOx坐标平面上的正投影图形的面积,则(  )

A.S1S2S3  B.S2S1S2S3

C.S3S1S3S2  D.S3S2S3S1

查看答案和解析>>

科目:高中数学 来源: 题型:


如图J11­2①所示,四边形ABCD为等腰梯形,AEDCABAEDCFEC的中点.现将△DAE沿AE翻折到△PAE的位置,如图J11­2②所示,且平面PAE⊥平面ABCE.

(1)求证:平面PAF⊥平面PBE

(2)求三棱锥A­PBC与三棱锥E­BPF的体积之比.

图J11­2

查看答案和解析>>

科目:高中数学 来源: 题型:


从{1,2,3,4,5}中随机选取一个数为a,从{1,2,3}中随机选取一个数为b,则b>a的概率是(  )

A.                                    B.

C.                                    D.

查看答案和解析>>

科目:高中数学 来源: 题型:


在△ABC中,BC边上的高所在直线的方程为x﹣2y+1=0,∠A的平分线所在直线的方程为y=0,若点B的坐标为(1,2),求△ABC的面积.

查看答案和解析>>

同步练习册答案