精英家教网 > 高中数学 > 题目详情

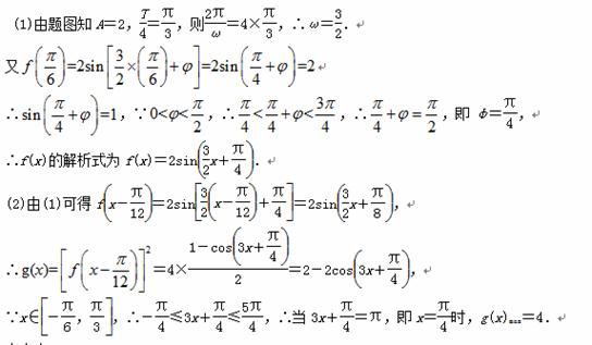
函数f(x)=Asin(ωxφ)(A>0,ω>0,0<φ)的部分图象如图所示.

(1)求f(x)的解析式;

(2)设,求函数g(x)在x上的最大值,并确定此时x的值.

练习册系列答案
相关习题

科目:高中数学 来源: 题型:


设偶函数上为减函数,且,则不等式的解集为________.

查看答案和解析>>

科目:高中数学 来源: 题型:


某农户准备建一个水平放置的直四棱柱形储水窖(如图),其中直四棱柱的高,两底面是高为,面积为的等腰梯形,且。若储水窖顶盖每平方米的造价为元,侧面每平方米的造价为元,底部每平方米的造价为元。(1)试将储水窖的造价表示为的函数;(2)该农户如何设计储水窖,才能使得储水窖的造价最低,最低造价是多少元(取)。

查看答案和解析>>

科目:高中数学 来源: 题型:


设偶函数f(x)=Asin(ωxφ)(A>0,ω>0,0<φ<π)的部分图像如图所示,△KLM为等腰直角三角形,∠KML=90°,KL=1,则f 的值为______.

查看答案和解析>>

科目:高中数学 来源: 题型:


若△ABC的内角满足sin Asin B=2sin C,则cos C的最小值是______.

查看答案和解析>>

科目:高中数学 来源: 题型:


 计算:(tan10°-)·sin40°=________.

查看答案和解析>>

科目:高中数学 来源: 题型:


如图,在△ABC中,D是边AC上的点,且ABAD,2ABBDBC=2BD,则sin C=________.

查看答案和解析>>

科目:高中数学 来源: 题型:


分别是的边上的点,,,若(为实数),则的值为           .

查看答案和解析>>

科目:高中数学 来源: 题型:


,其中成公比为的等比数列,成公差为1的等差数列,则的最小值为________.

查看答案和解析>>

同步练习册答案